近日,我院城市安全健康与管理系黎秋杉副研究员、硕士研究生李卓与日本中央大学石川幹子教授、美国华盛顿大学赵博教授合作完成的研究论文 “Residents’ Preference for Sustainable Habitats Through Choice Experiments Using 3D Visualisations: Evidence From Rural Western Sichuan, China” 正式发表在土地政策领域国际权威期刊《Land Use Policy》(中科院一区TOP期刊、JCR一区)。该期刊在国土空间规划、土地政策与可持续发展研究领域具有广泛国际影响力。

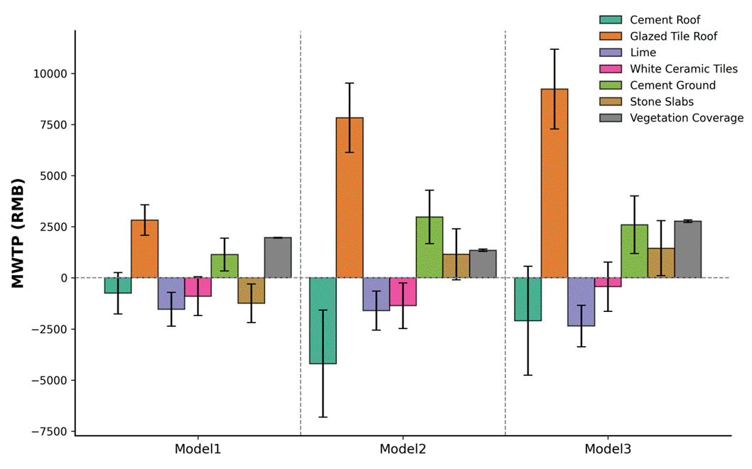
论文以四川西部农村地区的传统聚落为研究对象,面向乡村振兴战略实施过程中“如何在改善居住条件的同时,守住生态适应性与文化特色底线”的现实难题,关注居民对可持续居住环境的真实偏好与行为选择。研究团队综合运用三维情景可视化技术与离散选择实验(Discrete Choice Experiment),基于202户农户调查数据,系统刻画了居民在屋顶材料、墙体做法、庭院绿化及植被覆盖等关键住房与环境属性之间的权衡关系及支付意愿。
研究结果显示,农村居民普遍愿意为具有更好热工性能的釉面瓦屋顶以及较高的庭院植被覆盖支付溢价,而对保温性能较差的传统墙面做法偏好显著下降。居民偏好不仅受居住功能需求影响,还受到生态环境关切、文化身份认同、家庭经济条件以及人口老龄化等多重因素的共同塑造。研究进一步揭示了行为层面的“取舍”如何具体转化为住房选择,对在乡村住房建设与人居环境整治中嵌入“以居民为本”的决策机制提供了实证支撑。基于上述发现,研究团队提出了参与式规划工具、差异化补贴机制等政策建议,为推进以人为本、生态友好的乡村建设与土地政策优化提供了重要实证依据。


一直以来,我院围绕灾后重建、乡村振兴、人居环境与国土空间治理等重大现实需求,持续开展跨学科合作研究。学院将持续支持教师和学生面向国家重大需求开展高水平科研工作,推动灾后重建与可持续人居环境研究不断取得新成果。
文章链接:https://doi.org/10.1016/j.landusepol.2025.107881